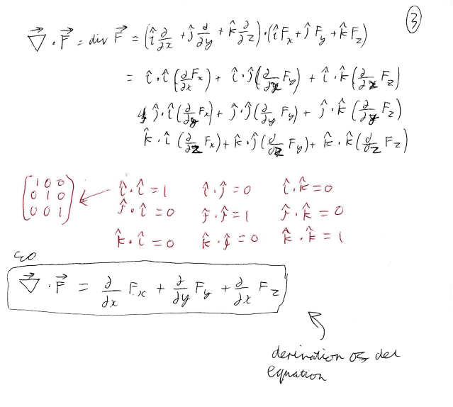
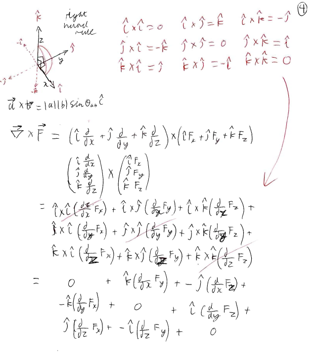
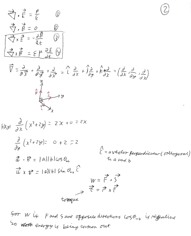
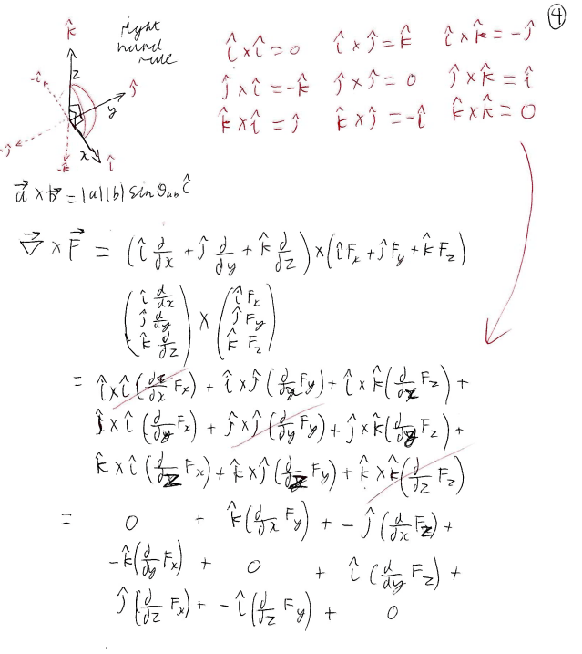
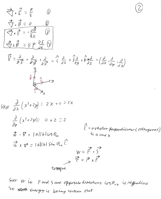
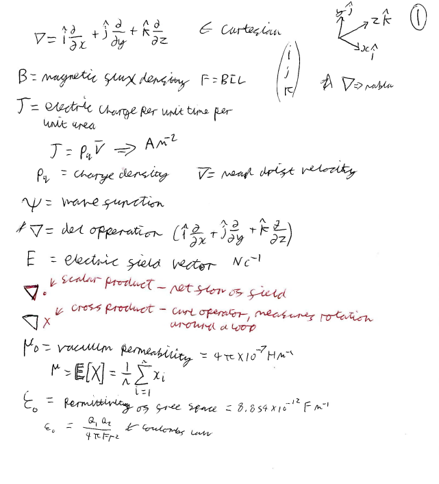
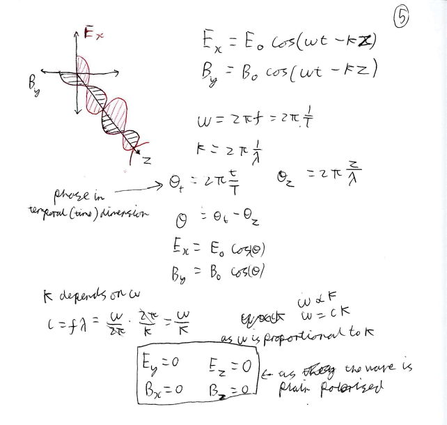
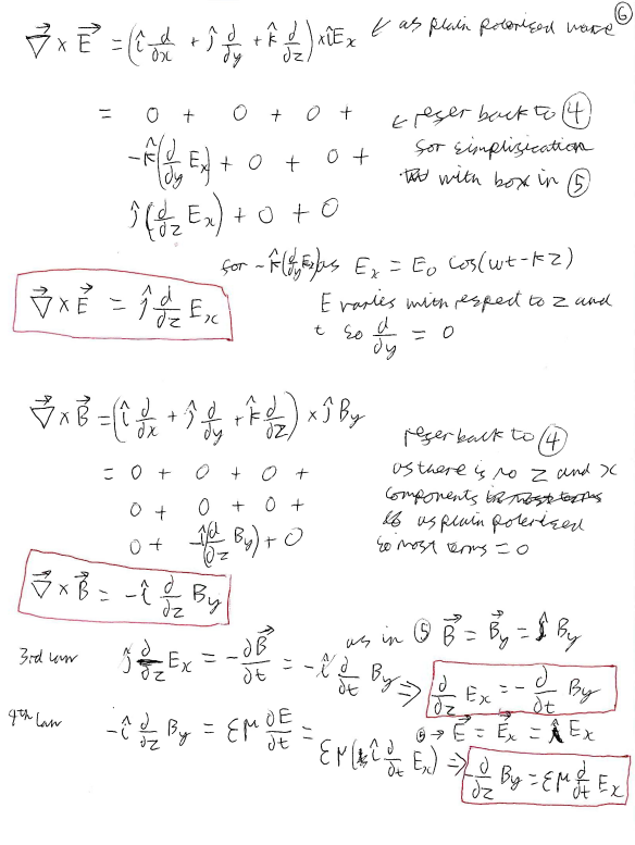
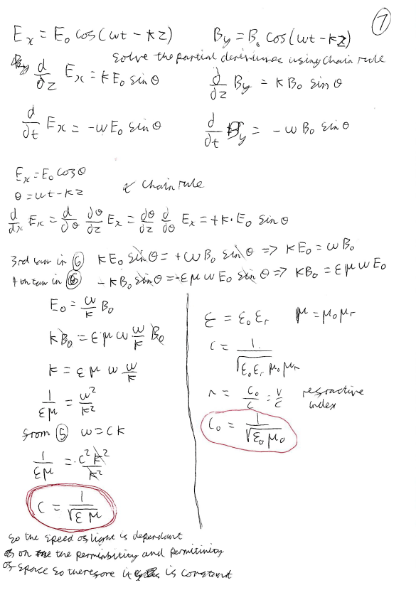
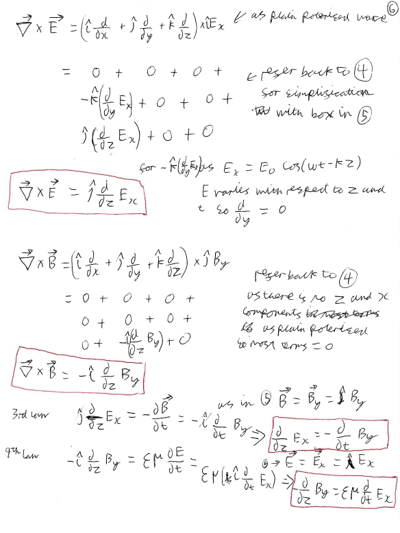
Deriving The Speed of Causality
This is my calculations to show that there is a limit to the speed of light using maxwells equations
“Yesterday is history, tomorrow is a mystery, but today is a gift. That is why it is called the present.”– Master Oogway
“Yesterday is history, tomorrow is a mystery, but today is a gift. That is why it is called the present.”